N-(2-amino-4-nitrophenyl)acetamide
EINECS 258-900-6, 4-nitro-2-aminoacetanilide, GLYCINE-p-NITROANILIDE
CAS: 53987-32-9
EC: 258-900-6
Request prices
N-(2-Amino-4,6-dichloro-5-pyrimidinyl)formamide
N-(2-Amino-4,6-dichloro-5-pyrimidinyl)formamide, 2-Amino-4,6-dichloro-5-formamidopyrimidine, N-(2-amino-4,6-dichloropyrimidin-5-yl)formamide
CAS: 171887-03-9
EC: 605-623-7
Request prices
N-(2-amino-5-benzoylphenyl)propane-1-sulphonamide
EINECS 289-456-1, N-(2-Amino-5-benzoylphenyl)propane-1-sulphonamide, 2-Propanesulfonamide,N-(2-amino-5-benzoylphenyl)
CAS: 88965-53-1
EC: 289-456-1
Request prices
N-(2-amino-6-chlorophenyl)-N-phenylacetamide
EINECS 284-177-1, , N-(2-Amino-6-chlorophenyl)-N-phenylacetamide
CAS: 84803-51-0
EC: 284-177-1
Request prices
N-(2-Amino-ethyl)-isonicotinamide
N-(2-Amino-ethyl)-isonicotinamide
CAS: 17704-88-0
Request prices
N-(2-Aminoethyl)-1,3-propanediamine
3-azahexane-1,6-diamine, 1,4,8-triazaoctane, 1,3-Propanediamine, N-(2-aminoethyl)-
CAS: 13531-52-7
EC: 236-882-0
Request prices
N-(2-aminoethyl)-2-[1-[difluoro[(trifluorovinyl)oxy]methyl]-1,2,2,2-tetrafluoroethoxy]-1,1,2,2-tetrafluoroethanesulphonamide
N-(2-aminoethyl)-2-[1-[difluoro[(trifluorovinyl)oxy]methyl]-1,2,2,2-tetrafluoroethoxy]-1,1,2,2-tetrafluoroethanesulphonamide
CAS: 64346-90-3
EC: 264-816-0
Request prices
N-(2-Aminoethyl)-3-aminopropyl-methyldimethoxysilane
Silane 1411, DOW CORNING Z-6020, aminoethylaminopropylmethyldimethoxysilane
CAS: 3069-29-2
EC: 221-336-6
Request prices
N-(2-Aminoethyl)-3-aminopropyl-triethoxysilane
N'-(3-triethoxysilylpropyl)ethane-1,2-diamine, 3-(2-Aminoethylamino)propyltriethoxysilane, N1-(3-(Triethoxysilyl)propyl)ethane-1,2-diamine
CAS: 5089-72-5
EC: 225-806-1
Request prices
N-(2-Aminoethyl)-3-aminopropyl-trimethoxysilane
N-(3-Trimethoxysilylpropyl)ethylenediamine, 3-(2-Aminoethylamino)propyltrimethoxysilane, 1,2-Ethanediamine, N-[3-(trimethoxysilyl)propyl]-
CAS: 1760-24-3
EC: 217-164-6
Request prices
N-(2-aminoethyl)-3-hydroxynaphthalene-2-carboxamide
3-hydroxy-[2]naphthoic acid-(2-amino-ethylamide), 3-Hydroxy-[2]naphthoesaeure-(2-amino-aethylamid), 3-Hydroxy-N-(2-amino-aethyl)-naphthamid-(2)
CAS: 26889-86-1
EC: 248-090-2
Request prices
N-(2-aminoethyl)-3-hydroxynaphthalene-2-carboxamide hydrochloride
2-Naphthalenecarboxamide,N-(2-aminoethyl)-3-hydroxy-,hydrochloride (1:?), 2-Naphthalenecarboxamide,N-(2-aminoethyl)-3-hydroxy-,hydrochloride, N-(2-Aminoethyl)-3-hydroxy-2-naphthamide hydrochloride
CAS: 21528-11-0
EC: 244-419-9
Request prices
N-(2-aminoethyl)-3-hydroxynaphthalene-2-carboxamide monohydrochloride
2-[(3-hydroxynaphthalene-2-carbonyl)amino]ethylazanium chloride, hydrochloride, 3-Hydroxy-naphthalene-2-carboxylic acid (2-amino-ethyl)-amide
CAS: 60033-15-0
EC: 262-030-2
Request prices
N-(2-aminoethyl)-3-oxobutyramide
N-(2-Aminoethyl)-3-oxobutyramide, N-(2-AMINOETHYL)-3-OXO-BUTANAMIDE, EINECS 285-932-8
CAS: 85168-90-7
EC: 85168-90-7
Request prices
N-(2-aminoethyl)-4-hydroxybenzamide monohydrochloride
EINECS 279-667-7, N-(2-Aminoethyl)-4-hydroxybenzamide HCl, N-(2-Aminoethyl)-4-hydroxybenzamide monohydrochloride
CAS: 81028-97-9
EC: 279-667-7
Request prices
N-(2-aminoethyl)-4-tert-butyl-2,6-xylylacetamide
EINECS 304-422-9, , N-(2-aminoethyl)-4-tert-butyl-2,6-xylylacetamide
CAS: 94266-17-8
EC: 304-422-9
Request prices
N-(2-aminoethyl)-9-octadecenamide
N-(2-Amino-aethyl)-oleamid, (E)-Octadec-9-enoic acid (2-amino-ethyl)-amide, N-(2-aminoethyl)-9-octadecenamide
CAS: 85712-16-9
EC: 288-375-9
Request prices
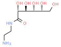
N-(2-aminoethyl)-D-gluconamide
EINECS 277-865-8, N-(2-Aminoethyl)-D-gluconamide,
CAS: 74426-36-1
EC: 277-865-8
Request prices
N-(2-aminoethyl)-N-(2-hydroxyethyl)dodecanamide
EINECS 264-188-8, Dodecanamide,N-(2-aminoethyl)-N-(2-hydroxyethyl),
CAS: 63451-21-8
EC: 264-188-8
Request prices
N-(2-aminoethyl)-N-(2-hydroxyethyl)myristamide
N-(2-Aminoethyl)-N-(2-hydroxyethyl)myristamide, EINECS 265-836-2,
CAS: 65588-70-7
EC: 265-836-2
Request prices
N-(2-aminoethyl)-N-(2-hydroxyethyl)stearamide
N-(2-Aminoethyl)-N-(2-hydroxyethyl)stearamide, Octadecanamide,N-(2-aminoethyl)-N-(2-hydroxyethyl), EINECS 204-394-7
CAS: 120-41-2
EC: 204-394-7
Request prices
N-(2-aminoethyl)-N-[2-(4-vinylphenyl)ethyl]ethylenediamine
EINECS 278-363-1, , 1,2-Ethanediamine, N1-(2-aminoethyl)-N1-[2-(4-ethenylphenyl)ethyl]- [
CAS: 76020-62-7
EC: 278-363-1
Request prices
N-(2-aminoethyl)-N-[2-(stearoylamino)ethyl]stearamide
EINECS 268-968-9, , N-(2-aminoethyl)-N-[2-(stearoylamino)ethyl]stearamide
CAS: 68155-57-7
EC: 268-968-9
Request prices
N-(2-aminoethyl)-N-dodecylethylenediamine
1,2-Ethanediamine, N-(2-aminoethyl)-N-dodecyl-, 4-N-dodecyldiethylenetriamine, 4-DODECYLDIETHYLENETRIAMINE
CAS: 4182-44-9
EC: 224-056-2
Request prices
N-(2-aminoethyl)-N-dodecylethylenediamine hydrochloride
N-(2-Aminoethyl)-N-dodecylethylenediamine HCl, EINECS 298-802-0, N-(2-Aminoethyl)-N-dodecylethylenediamine hydrochloride
CAS: 93839-32-8
EC: 298-802-0
Request prices
Experience chemical sourcing with data intelligence
Request a Demo